Lompat ke konten Lompat ke sidebar Lompat ke footer

Contoh Soal Keperawatan Jiwa - Soal Tes Kompetensi Keperrawatan Scribd Jawabanku Id / Aku mudah terbangun oleh suara berisik.

Contoh Soal Keperawatan Jiwa - Soal Tes Kompetensi Keperrawatan Scribd Jawabanku Id / Aku mudah terbangun oleh suara berisik.. Latihan soal keperawatan jiwa part 1 ini gratis, hanya di pakmantri. Berikut ini saya menyajikan contoh kisi kisi soal uji kompetensi keperawatan stage keperawatan jiwa yang bersumber dari regional kalimantan tahun 2015 hanya sekedar berbagi dan hanya untuk pembelajaran. Soal jiwa keperawatan ukom 2019. A) otonomi dalam pekerjaan b) bertanggung jawab, dan bertanggung gugat c) pengambilan keputusan tergantung dokter d) kolaborasi dengan disiplin lain e) pemberian pembelaan (advocacy), jawaban: Tuan k 30 tahun masuk rs jiwa, saat dikaji didapatkan data sebagai berikut :

Klien mengatakan saya sangat tidak berguna, saya malu suster, rasanya lebih baik saya tidak dilahirkan saja dari keterangan keluarga hal tersebut terjadi sejak 1 tahun lalu setelah tuan k ditinggalkan istrinya menikah lagi. Soal uts bahasa indonesia kelas 3 semester 1 dan k. Berikut ini tersedia beberapa artikel yang menjelaskan secara lengkap tentang contoh soal tes kesehatan jiwa. A) otonomi dalam pekerjaan b) bertanggung jawab, dan bertanggung gugat c) pengambilan keputusan tergantung dokter d) kolaborasi dengan disiplin lain e) pemberian pembelaan (advocacy), jawaban: Perawat memutuskan untuk memasukkan klien ke ruang isolasi sambil berkata :

Soal Kasus 1 Perawat Ingin Melakukan Anamnesis Pada Pasiennya Pada Saat Perawat Datang Ke Tempat Tidur Pasien Pasien Terlihat Sedang Sendiri Di Sudut Ppt Download
Soal Kasus 1 Perawat Ingin Melakukan Anamnesis Pada Pasiennya Pada Saat Perawat Datang Ke Tempat Tidur Pasien Pasien Terlihat Sedang Sendiri Di Sudut Ppt Download from slideplayer.info
C 2) berikut ini yang tidak termasuk criteria kualitas asuhan keperawatan adalah: Pemenuhan kebutuhan spiritual pasien di ruang icu rumah. Hasil score akan langsung keluar setelah kamu menjawab soal keperawatan jiwa part 1. Berikut ini saya menyajikan contoh kisi kisi soal uji kompetensi keperawatan stage keperawatan jiwa yang bersumber dari regional kalimantan tahun 2015 hanya sekedar berbagi dan hanya untuk pembelajaran. 20201120 dibawah ini adalah contoh soal uji kompetensi ukom manajemen keperawatan beserta kunci jawabannya 1. A) otonomi dalam pekerjaan b) bertanggung jawab, dan bertanggung gugat c) pengambilan keputusan tergantung dokter d) kolaborasi dengan disiplin lain e) pemberian pembelaan (advocacy), jawaban: Melihat komposisi soal tes kesehatan jiwa bagi anggota polri tidaklah beda dengan soal soal kesehatan rohani di rsu dr. Tesis peran kader kesehatan jiwa dalam program kesehatan.

Ada 566 pernyataan yang harus diisi dalam kurun waktu 120 menit atau 2 jam.

Seorang klien (30 tahun) dirawat di rsj. Sebuah terapi yang bertujuan untuk memperbaiki pola suatu lingkungan agar terjadi perubahan perilaku pada pasien dari perilaku maladaptive menjadi perilaku adaptif. 20201124 berikut ini adalah file tentang contoh jurnal keperawatan jiwa halusinasi yang bisa bapakibu unduh secara gratis dengan menekan tombol download pada tautan link di bawah ini. Klien cenderung berayun dan limbung tidak dapat. Soal ukom jiwa ners 2018 lengkap edisi 5 ukom perawat. Begitulah informasi yang bisa kami uraikan mengenai contoh soal kasus keperawatan jiwa. Contoh soal uts keperawatan jiwa. Contoh soal uji kompetensi ukom keperawatan jiwa dan kunci jawaban edisi 180 kebanyakan dari kita menganggap enteng soal soal ukom keperawatan jiwa ini namun setelah dilakukan tryout secara nasional ternyata lumayan banyak dari teman teman yang kebingungan mencari jawaban yang paling tepat dan sekerdar diketehui rata rata terdapat. Soal ukom perawat dan kunci jawaban. Contoh soal uji kompetensi (ukom) keperawatan full gawat darurat (gadar) edisi ke 172 dibawah ini adalah latihan uji kompetensi perawat (ukom) keperawatan gawat darurat (gadar) bagian ke 172 beserta kunci jawabannya serta pembahasannya 1. Universitas sriwijaya nursing science program academia edu. Berikut informasi sepenuhnya tentang contoh soal uji kompetensi keperawatan jiwa. Contoh soal uji kompetensi keperawatan jiwa dan kunci jawaban ukom perawat.

Contoh soal uji kompetensi ners beserta jawabannya. Klien mengatakan saya sangat tidak berguna, saya malu suster, rasanya lebih baik saya tidak. Soal uts bahasa indonesia kelas 3 semester 1 dan k. Contoh soal uji kompetensi (ukom) keperawatan full gawat darurat (gadar) edisi ke 172 dibawah ini adalah latihan uji kompetensi perawat (ukom) keperawatan gawat darurat (gadar) bagian ke 172 beserta kunci jawabannya serta pembahasannya 1. 20201124 berikut ini adalah file tentang contoh jurnal keperawatan jiwa halusinasi yang bisa bapakibu unduh secara gratis dengan menekan tombol download pada tautan link di bawah ini.

Universitas Sriwijaya Nursing Science Program Academia Edu
Universitas Sriwijaya Nursing Science Program Academia Edu from 0.academia-photos.com
Contoh soal uji kompetensi keperawatan jiwa beserta kunci jawaban edisi 8 ukom perawat. Contoh soal keperawatan dan kunci jawaban. Latihan soal uji kompetensi perawat 2020 2021 edisi 2017. Aku mudah terbangun oleh suara berisik. Contoh soal uts keperawatan jiwa. Contoh soal uji kompetensi keperawatan jiwa dan kunci jawaban ukom perawat. Contoh soal tes kesehatan jiwa. Setelah perawat selesai mendengarkan cerita klien, perawat menceritakan.

Keperawatan jiwa merupakan ilmu tingkah laku manusia sebagai dasar untuk meningkatkan, mempertahankan dan memulihkan kesehatan baik mental maupun psikis.

Uji kompetensi perawat d3 dan ners terdapat 5 buah soal uji kompeteni beserta kunci jawabannya 1. Contoh soal uts keperawatan jiwa. Contoh soal uji kompetensi ukom keperawatan jiwa dan kunci jawaban edisi 180 kebanyakan dari kita menganggap enteng soal soal ukom keperawatan jiwa ini namun setelah dilakukan tryout secara nasional ternyata lumayan banyak dari teman teman yang kebingungan mencari jawaban yang paling tepat dan sekerdar diketehui rata rata. Satu contoh terapi modalitas dalam keperawatan jiwa dengan menggunakan terapi lingkungan. Tuan k 30 tahun masuk rs jiwa, saat dikaji didapatkan data sebagai berikut : Contoh soal uji kompetensi (ukom) keperawatan full gawat darurat (gadar) edisi ke 172 dibawah ini adalah latihan uji kompetensi perawat (ukom) keperawatan gawat darurat (gadar) bagian ke 172 beserta kunci jawabannya serta pembahasannya 1. Begitulah informasi yang bisa kami uraikan mengenai contoh soal kasus keperawatan jiwa. Soal ukom perawat dan kunci jawaban. Soal ukom jiwa ners 2018 lengkap edisi 5 ukom perawat. Aku mudah terbangun oleh suara berisik. Latihan soal uji kompetensi perawat 5. Sehingga kondisi kejiwaan tetap dalam keadaan stabil dan dapat dikendalikan dengan baik. Kumpulan soal uji kompetensi keperawatan d3 ners perawat indonesia ke 142.

Tuan k 30 tahun masuk rs jiwa, saat dikaji didapatkan data sebagai berikut : Contoh soal uji kompetensi keperawatan jiwa dan kunci jawaban ukom perawat. Soal jiwa keperawatan ukom 2019. C 2) berikut ini yang tidak termasuk criteria kualitas asuhan keperawatan adalah: Keperawatan jiwa adalah area khusus dalam praktek keperawatan yang menggunakan ilmu tingkah laku manusia sebagai dasar dan menggunakan diri sendiri secara teraupetik dalam meningkatkan, mempertahankan, memulihkan kesehatan mental klien dan kesehatan mental masyarakat dimana klien berada (american nurses associations).

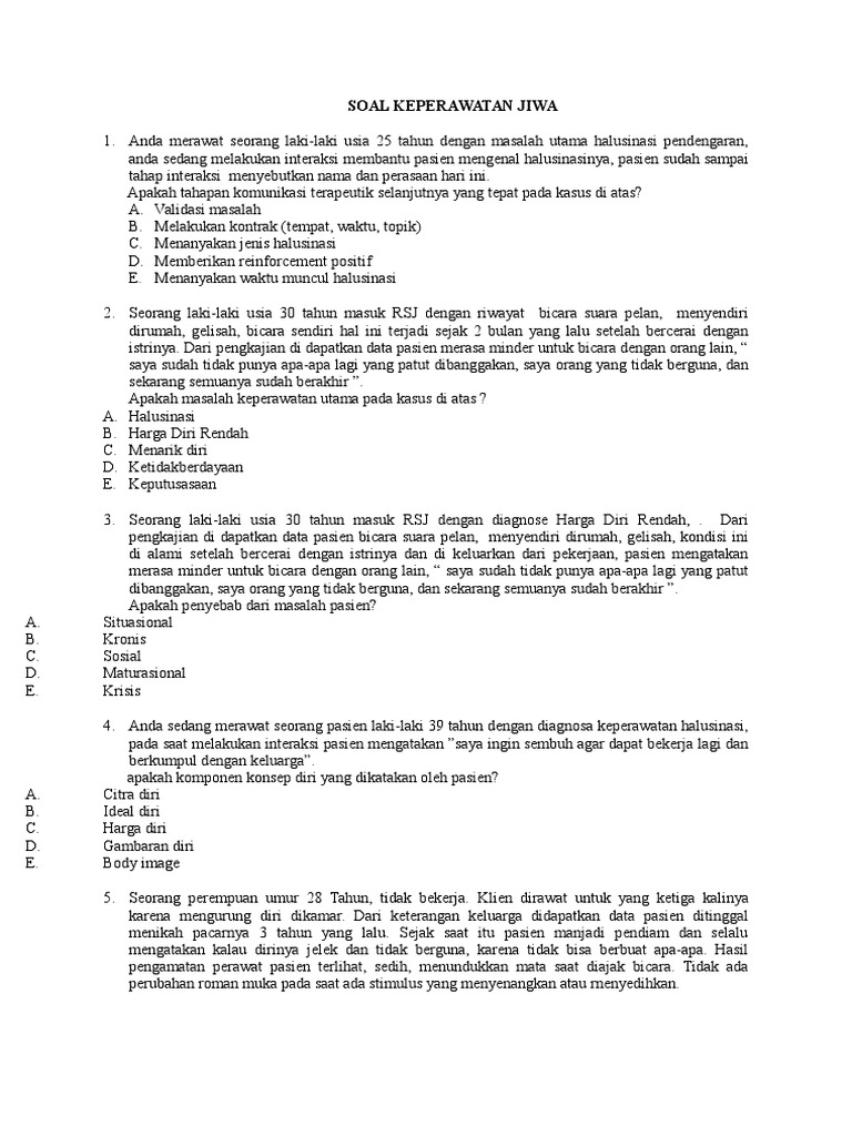
Soal Tes Kompetensi Keperrawatan Scribd Jawabanku Id
Soal Tes Kompetensi Keperrawatan Scribd Jawabanku Id from imgv2-1-f.scribdassets.com
Contoh soal dan jawaban keperawatan jiwa lengkap dengan penjelasan. Contoh soal uji kompetensi keperawatan jiwa beserta kunci jawaban edisi 8 ukom perawat. Contoh soal uji kompetensi ners beserta jawabannya. Klien cenderung berayun dan limbung tidak dapat. Soal ukom perawat dan kunci jawaban. Klien menceritakan semua hal tentang kehidupannya dahulu kepada perawat. Über 7 millionen englischsprachige bücher. 20201120 dibawah ini adalah contoh soal uji kompetensi ukom manajemen keperawatan beserta kunci jawabannya 1.

Contoh soal uji kompetensi perawat edited by muhammad imron,s.kep,ns berikut ini saya menyajikan contoh kisi kisi soal uji kompetensi keperawatan stage keperawatan jiwa yang bersumber dari regional kalimantan tahun 2015 hanya sekedar berbagi dan hanya untuk pembelajaran.

Keperawatan gawat darurat soal dan jawaban indrawati supono. Melihat komposisi soal tes kesehatan jiwa bagi anggota polri tidaklah beda dengan soal soal kesehatan rohani di rsu dr. Contoh soal tes kompetensi bidang perawat keperawatan info lowongan kerja terbaru info lowongan kerja Hasil score akan langsung keluar setelah kamu menjawab soal keperawatan jiwa part 1. Berikut judul skripsi tentang keperawatan jiwa. Latihan soal uji kompetensi perawat 2020 2021 edisi 2017. Soal jiwa keperawatan ukom 2019. Contoh soal uji kompetensi keperawatan jiwa beserta kunci jawaban edisi 8 ukom perawat. 20201124 berikut ini adalah file tentang contoh jurnal keperawatan jiwa halusinasi yang bisa bapakibu unduh secara gratis dengan menekan tombol download pada tautan link di bawah ini. Berikut ini tersedia beberapa artikel yang menjelaskan secara lengkap tentang contoh soal tes kesehatan jiwa. Seorang perempuan (28 tahun) dirawat dengan schizoprenia paranoid. Ada 566 pernyataan yang harus diisi dalam kurun waktu 120 menit atau 2 jam. Klien cenderung berayun dan limbung tidak dapat.

Posting Komentar untuk "Contoh Soal Keperawatan Jiwa - Soal Tes Kompetensi Keperrawatan Scribd Jawabanku Id / Aku mudah terbangun oleh suara berisik."